Piezo Hannas (WuHan) Tech Co,.Ltd .- Professioneller Piezoceramic Elements Lieferant
Neuigkeit
Sie sind hier: Heim / Nachrichten / Grundlagen der piezoelektrischen Keramik / Biegevibrationsmodus des Piezoelektrik -Keramik -Vibrators

Biegevibrationsmodus des Piezoelektrik -Keramik -Vibrators

Anzahl Durchsuchen:0     Autor:Site Editor     veröffentlichen Zeit: 2018-10-30      Herkunft:Powered

erkundigen

facebook sharing button
twitter sharing button
line sharing button
wechat sharing button
linkedin sharing button
pinterest sharing button
whatsapp sharing button
sharethis sharing button

Wenn zwei dick PZT5 Material Piezo -ScheibenBlätter mit der gleichen Dicke und polarisierten Elektroden werden miteinander verbunden, wenn ein extern aufgetragenes aufregendes elektrisches Feld eines der Blätter verlängern kann und das andere Stück verkürzt wird, kann eine Biegevibration erzeugt werden. Für die in die entgegengesetzten Polarisationsrichtungen gebundenen Blätter ist die Leistung in Reihe verbunden und die in die gleichen Polarisationsrichtung gebundenen Blätter sind parallel zur Stromquelle verbunden. Wenn die obere Elektrode der angelegten Spannung positiv ist und die untere Elektrode negativ ist, ist das angelegte elektrische Feld des oberen Blatts der Polarisationsrichtung entgegengesetzt, das Blatt ist länglich, die Polarisationsrichtung des unteren Blattes ist die gleiche wie die Richtung wie die Richtung des angelegten elektrischen Feldes, und das Blatt wird verkürzt, um eine konvexe gekrümmte Form zu erzeugen; Dann wird eine konkave Kurve erzeugt. Wenn ein alternierendes elektrisches Feld angewendet wird, wird eine Biegevibration erzeugt.


Beim Biegen der Vibration des oberen Teils soll der untere Teil von verlängert werden (verkürzt)Verkabelung Piezoceramic -Scheibenwird verkürzt (länglich), und es muss eine Oberfläche geben, die weder in der Mitte verlängert noch verkürzt wird. Für ein Blatt der gleichen Dicke ist diese Seite die Bindungsfläche. Auf der Klebstoffoberfläche erstreckt sich nicht und verkürzt sich nicht, es gibt zwei Punkte A und B, die während der Vibration stationär bleiben. Diese beiden Punkte werden Knoten genannt. In den beiden Kleberblättern erregt das elektrische Feld nur einen von ihnen, um eine Biegeschwingung zu erzeugen. Wenn zwei piezoelektrische Keramikblätter an ein dünnes Metallblech gebunden sind oder ein Piezo -Keramikblatt an ein dünnes Metallblech gebunden ist, kann eine Biegevibration erzeugt werden.


Die Beziehung zwischen der Resonanzfrequenz des Vibrationsmodus der Dicke und der Länge des Films und der Gesamtdicke des gebundenen Blatts beträgt:


Dgif680@5@e}%`J4Y5 (4i8v





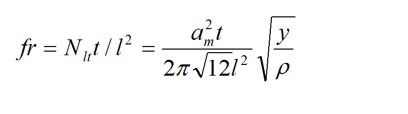
Hier ist die Frequenzkonstante, die der mit der Wellenzahl bezogene Koeffizient ist, y der Young's Modul und ρ die Piezo -Keramikdichte. Die relative Bandbreite der Biegevibration der Streifendicke beträgt 0,25-3%und der anwendbare Frequenzbereich 500 Hz bis 20 kHz. Die Größe solcher Vibratoren beträgt im Allgemeinen: l = (6 ~ 10) w, w ≥ 3,5 t.


Zweitens die Streifenbreite des Biegeschwingungsmodus:


Durch Teilen der Elektrode ein einzelnes Keramikstückpiezoelektrischer Ultraschallwandlerkann einer Biegung von Vibrationen in Breite (oder einem Biegevibrationsmodus) unterzogen werden, und die Elektrode ist in zwei Teile entlang der Mittellinie der Elektroden der beiden Seiten des langen Keramikstücks unterteilt, was äquivalent zu zwei entspricht Ultraschallpiezoelektrische Keramikblätter sind miteinander verbunden. Wenn ein abwechselndes elektrisches Feld auf die geteilten Elektrodenpaare angewendet wird, kann das Biegen der Vibration in Breite generiert werden. Da die Oberflächenelektrode eines Piezo -Keramikstücks in zwei Elektrodenpaare unterteilt ist, gibt es zwei Möglichkeiten, die Biegevibration aufzunehmen:



95i] 80 [3b {wm5i @@ z%xu@b8

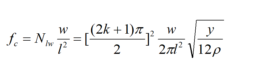
Resonanzfrequenz des Vibrationsmodus der langen Streifenbreite:



Iovef4%yoeeqg@5xg8)) kJ




W ist die Breite des Keramikblatts; L ist die Länge des Keramikblatts; Y ist der Modul der Jungen; K ist die Wellenzahl; ρ ist die Dichte der Keramik.
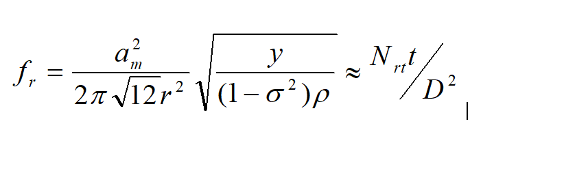
Drittens die Dicke der Scheibenbiegeschwingungsmodus:
Wenn die beiden Wafer im radialen Schwingungsmodus miteinander verbunden und auf die gleiche Weise wie die langen Streifen angeregt werden, wird die Dickeschwingung des Wafers erhalten. Die Resonanzfrequenz dieser Biegevibration ist


UOX6UZ0YA59H5T] $ 7FA6HPK




Dicke Schervibrationsmodus:


Der Modus der Dicke -Schervibrationsmodus des Pickups mit ultraschallischer Piezoelektrikum ist dadurch gekennzeichnet, dass die Elektrodengesichter parallel zur Polarisationsrichtung sind. Unter der Wirkung eines abwechselnden elektrischen Feldes erzeugt das Piezo -Keramikblatt eine Dicke -Schervibration. Diese Schwingung ist die relative Gleitdeformation entlang der Länge und Dicke der beiden entgegengesetzten Oberflächen des piezoelektrischen Körpers parallel zur Polarisation. Das Partikel wird entlang der Länge und der Dicke verdrängt, während sich die Welle entlang der Dicke ausbreitet


[Q} jj {] rd $ d2@(] xeo {9i7

Trap -Vibrationsmodus:


Wenn der Elektrodenbereich der Piezoceramic-Materialien piezoelektrische Scheiben im Verhältnis zum Bereich des Keramikblatts klein ist, kann ein geeigneter Elektrodenbereich und seine Metallmassenbelastung ein sogenanntes Fangenphänomen verursachen. Nachdem die Falle aufgetreten ist, ist die Anregungsenergie unter der Spotelektrode eingesperrt und zerfällt exponentiell herum. Zu diesem Zeitpunkt bildet der Spotelektrodenbereich und die nahe gelegene Kante ein unabhängiges Schwingungssystem. Die Einfangenschwingung ist tatsächlich eine Dicke -Dehnungschwingung. Da die Elektrode dieses Vibrators klein ist, wird sie auch als Punktvibrator oder Punktelektrodenvibrator bezeichnet. Die grundlegende Resonanzfrequenz dieses Oszillators ist


O%rr@5} r [y0jg_2y $ ti] z5


Gemeinsame Vibrationsmodi und verwandte Merkmale:


Q2o5u {yufznyl $ bw1sxv4e









Feedback
Piezo Hannas (WuHan) Tech Co,.Ltd ist eine professionelle piezoelektrische Keramik- und Ultraschallwandlerhersteller, die sich Ultraschalltechnologie und industriellen Anwendungen widmet.

EMPFEHLEN

KONTAKTIERE UNS

Hinzufügen: Nr. 456 Wu Luo Road, Wuchang District, Wuhan City, Provinz Hubei, China.
Email:sales@piezohannas.com
Tel: +86 27 84898868
Telefon: +86 +18986196674
QQ: 1553242848
Skype: Live: Mary_14398
Copyright 2017  Piezo Hannas (WuHan) Tech Co,.Ltd.All rights reserved.
Produkte